深圳喆能电子技术有限公司

4000-163-779

关于喆能学院动态

输油管电磁加热系统

作者: 输油管电磁加热 编辑: 电磁加热 来源: 喆能电磁加热 发布日期: 2020.01.02
信息摘要:
1、结构整个系统由控制柜、温度传感器、电磁加热线圈组成。如下图所示:(1)控制柜:作用一是将380V/50Hz交流电转换成频率为5-40KH…

1、结构

   整个系统由控制柜、温度传感器、电磁加热线圈组成。如下图所示:

输油管电磁加热系统


(1)控制柜:

作用一是将380V/50Hz交流电转换成频率为5-40KHz高频高压电,供给电磁加热线圈。使电磁加热线圈会产生高速变化的交变磁场,当磁场内的磁力线通过导磁性金属材料时会在金属体内产生无数的小涡流,使金属材料本身自行快速发热,达到给其内部流动的液体加热的目的。

作用二是采集输油管的温度参数,根据设定值,在达到某设定温度时关闭加热系统或者降低输出功率,达到节能的目的。

(2)温度传感器的作用是测量输油管温度,为控制系统提供决策依据。

(3)电磁加热线圈的作用是控制柜提供的高速变化高频高压电流流过线圈会产生高速变化的交变磁场,当磁场内的磁力线通过导磁性金属材料时会在金属体内产生无数的小涡流,使金属材料本身自行快速发热,并且可以根据具体情况在金属筒外部包裹一定的隔热保温材料,就极大的减少了热量的散失,提高了热效率节电效果十分显著可达30%~80%。


2、标准输油管电磁加热系统参数介绍

一般标准输油管电磁加热系统技术指标(也可以根据用户要求订制)

(1)功率:10kW

(2)供电:380V/50Hz

(3)温度控制:20--150℃,精度±2℃

(4)温度测量范围:-20--300℃,精度±2℃

(5)线圈采用绕制成设计感量,绕法根据输油管径现场绕制。


3、输油管电磁加热系统优点及推广意义

按一米长输油管,在一小时内将液体加热到某一温度计算,看一看电阻式加热和电磁式加热分别需要多少电量:

1)电阻式加热初始加热所需要的功率

KW电阻=KW1/QV

KW1是液体加热需要的功率,QV是电转化为热的效率,取均值50%

KW 1= ( C1*M1*△T + C2*M2*△T )÷ 864/P + P/2+P1

式中:C1、C2分别为容器和介质的比热(Kcal/Kg℃)

M1、M2分别为容器和介质的质量(Kg)

△T为所需温度和初始温度之差(℃)

H为初始温度加热到设定温度所需要的时间(h)

P最终温度下容器的热散量(Kw)

P1是电阻丝自身升温所需功率,按试验得0.87 Kw

我们按照标准操作方式取△T=70℃,H=1,按照经验P=8,

设输油管直径为73mm,壁厚5.5mm

那么一米长输油管质量就是:9.087Kg

一米长输油管内原油质量就是:3.018Kg

而原油的比热C1=0.51,钢的比热C2=0.13

将各个参数代入公式,得到KW电阻=13.44

那么在一小时内就需要13.44kWh的电量。

2)电磁式加热初始加热所需要的功率

KW电磁=KW1/QV

KW1是液体加热需要的功率,QV是电转化为热的效率,取均值98%

KW 1= ( C1*M1*△T + C2*M2*△T )÷ 864/P + P/2

式中:C1、C2分别为容器和介质的比热(Kcal/Kg℃)

M1、M2分别为容器和介质的质量(Kg)

△T为所需温度和初始温度之差(℃)

H为初始温度加热到设定温度所需要的时间(h)

P最终温度下容器的热散量(Kw)

我们按照标准操作方式取△T=70℃,H=1,按照经验P=8,

设输油管直径为73mm,壁厚5.5mm

那么一米长输油管质量就是:9.087Kg

一米长输油管内原油质量就是:3.018Kg

而原油的比热C1=0.51,钢的比热C2=0.13

将各个参数代入公式,得到KW电磁=5.97

那么在一小时内就需要5.97kWh的电量。

3)根据以上计算结果得到在同等条件下可以节约用电KW电阻-KW电磁=13.44-5.97=7.47kWh,

节电率=7.47/13.44=55%


优点:预热时间短,通电就能加热;线圈本身热损小,使用寿命长,热损耗少;加热效率高,耗电的 95% 转化为有效工作热能。

推广意义:提高了热效率节电效果十分显著可达30%~80%。按照最低节能30%计算,按照每年1亿元加热电费计算,每年就可以节约电费3000万元,并且输油管电磁加热系统使用寿命长,在设备投资与维护上又可以节约一大笔资金,所以输油管电磁加热系统取代传统的电阻加热系统是必然趋势。

4、以100米输油管为例计算所需系统功率

在100米管出口温度不低于32℃(不结腊)

以1小时为时间单位

以4寸输油管为对象分析,里面介质是水(高含水原油)

环境温度为-30℃

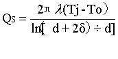
管道热损失计算公式


管道热损失计算公式


  式中:Qs—管道实际散热量,Kcal/h·m或W/m

     Tj—介质维持温度,℃,设为32℃

     To—冬天最低温度,℃设为-30℃

     λ—在介质维持温度时保温材料的导热系数,Kcal/h·m·℃或W/m·℃,保温棉的导热系数约为0.15至0.30,计算取0.2

     d—管道外径,mm取101.6mm

     δ—保温层厚度,mm取50mm

Qs =113.68 W/m

那么100米输油管所需加热功率为100X113.68=11368W,考虑到转换效率等因素,那么在出口温度不小于32℃时,只需15KW的电磁加热系统就可以了。

输油管电磁加热

全国服务热线

4000-163-779